ページの本文です。

井越明日香さんが、第28回日本メイラード学会において若手研究者奨励賞を受賞

2018年10月11日更新

 平成30年3月に大学院博士後期課程ライフサイエンス専攻食品栄養科学領域を修了した井越明日香さん(現在千葉県庁勤務)が、平成30年10月6日、7日に札幌市の札幌医科大学で開催された第28回日本メイラード学会において若手研究者奨励賞を受賞しました。

メイラード反応とは、1912年にフランスの化学者Louis Camille Maillard により見出された化学反応で、アミノ酸やタンパク質などのアミノ基と糖などのカルボニル基が反応して起こる一連の反応を指します。本反応は、食品が茶色くなる現象(ビールやみそ・醤油が黄色から茶色い色を示していること)や加熱香気成分の生成(パンをトーストしたり、肉を焼いたりすると香ばしくなること)を担う反応のため、当初は主に食品化学や天然物化学の研究者により研究されていましたが、その後本反応が生体内でも普遍的に起こり、糖尿病や老化などと深い関係を持っていることが分かり、現在では生化学系や医学系の研究者により活発に研究されています。

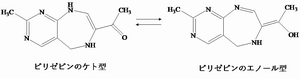
井越明日香さんは、チアミン(ビタミンB1)がその構造中にアミノ基を有していることに着目し、チアミンを基質としたメイラード反応により色素が形成されるかどうかを調べました。その結果、ピリゼピンと命名した新たな色素を見出し、最新の有機化学的手法を駆使してその化学構造を決定しました。本物質はユニークな複素環骨格を有しており、このような化合物の形成は全く知られておらず、今後の展開が期待されると、食品学分野ばかりでなく基礎医学分野の審査委員からも高い評価を受けました。

ケト型

講演タイトル

モデル系におけるチアミン由来の新規メイラード色素ピリゼピンの形成
○井越あすか、野田響子、村田容常

日本メイラード学会
http://www.maillard.umin.jp/

賞状01

  •  
  • このエントリーをはてなブックマークに追加